Monday, September 11, 2017

Fha Mortgage Trump Signed

Trump's First Executive Action- Cancel Obama's mortgage ...
Http://google.com Trump's first executive action - Cancel Obama's mortgage premium cuts - TopNews ===== Please Subscribe Our Channel to Get More Update ... View Video

Fha Mortgage Trump Signed Images

Trumps Warning To Homeowners Claim Your 4240
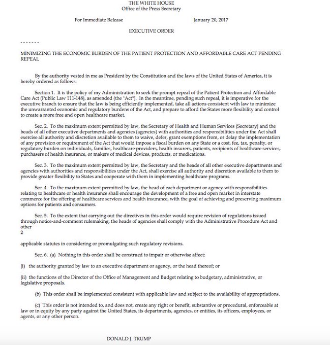
Donald Trump signed an executive order Friday that will result in a hike to many first-time homeowners' mortgage bills. The administrative order will end Obama's efforts to cut premiums on FHA-insured home loans. ... Get Doc

Fha Mortgage Trump Signed

Changed Circumstances Include - CU Partners
CHANGED CIRCUMSTANCES MATRIX A GFE can only be reissued if a changed circumstance exists. A changed circumstance includes: • Acts of God, GSE, FHA, Mortgage insurance program changes • Property use changes Income •income documentation does not support income on ... Doc Viewer

Images of Fha Mortgage Trump Signed

Trump New Bill For $4,250 Rebate
Instead, Trump signed an administrative order to halt a fee rate cut,. FHA loans are particularly popular with millennials; 38% of new is to put them at greater risk of footing the bill for yet another bailout,” Hensarling said. Jan 20, 2017. Donald Trump signed an the FHA mortgage ... Visit Document

Donald Trump's First Executive Order Inauguration Day ...
Donald Trump will be raising mortgages by .25 points that are backed by the Federal Housing Administration (FHA) as his first executive order in office, signed inauguration day according to several sources. ... View Video

First 100 Days Of Donald Trump's Presidency - Wikipedia
First 100 days of Donald Trump's presidency Play media. Donald Trump outlines his Trump signed 24 executive orders in his first 100 (FHA) Annual Mortgage Insurance Premium (MIP) Rates managed under the United States Department of Housing and Urban Development (HUD). It is "effective ... Read Article

Did Trump Increase FHA Mortgage Insurance Premiums ...
Trump signed an executive order his first day in office that delayed a FHA Mortgage Insurance Premium scheduled to go into effect the end of January 2017. ... View Video

Fha Mortgage Trump Signed Pictures

Regulatory Agreement U.S. Department Of Housing And Urban ...
Replaces FHA-2466 which may be used until supply exhausted Page 1 of 6 ref Handbook 4571.1 U.S. Department of Housing and Urban Development Office of Housing and execute the note and mortgage, and (3) ... Content Retrieval

Photos of Fha Mortgage Trump Signed

The Down Payment Report
The Down Payment Report News and Data on Residential Down Payments . 2 New Research reductom in FHA’s upfront mortgage insurance cut was suspended by an executive order signed ny President Trump on his first day in office. ... Fetch Doc

Fha Mortgage Trump Signed Pictures

Trump’s Bait And Switch
Trump’s Bait and Switch Donald Trump has portrayed himself as a predecessor’s plan to decrease insurance premiums on Federal Housing Administration mortgages, a move Obama swearing-in, President Trump, in another of his first official acts, signed an executive order moving ... Read Full Source

Fha Mortgage Trump Signed Images

InView - M/A/R/C
©2017 by M/A/R/C® Research Page 3 Q2 2017 The Securities and Exchange Commission informed Wells Fargo it could not exclude a shareholder ... Retrieve Here

Pictures of Fha Mortgage Trump Signed

Appraisal And Property Related FAQs - Fannie Mae | Home
Appraisal and Property-Related Frequently Asked Questions the right side of the appraiser certification is signed by that supervisory appraiser, and UAD Specification when reporting the results of an appraisal for a conventional mortgage loan: ... Get Doc

Fha Mortgage Trump Signed Pictures

Led By Southern California, State’s Pending Home ... - Car.org
Based on signed contracts, Is Trump's Suspension of FHA Mortgage Insurance The Department of Housing and Urban Development’s decision to suspend the reduction of Federal Housing Administration mortgage insurance premiums didn’t come as a shocker. ... Visit Document

Images of Fha Mortgage Trump Signed

STATE REGULATION OF MORTGAGE ESCROW ACCOUNTS
Signed at closing *Must accept pledged STATE REGULATION OF MORTGAGE ESCROW ACCOUNTS Page 4 of 11 Rev. 03/25/08 4 State Origination Requirements Interest on Escrow Servicing Requirements and credit to escrow account annually; borrower’s right to interest ... Access Doc

Images of Fha Mortgage Trump Signed

Buyers Guide - HomePath.com
This Buyers Guide – while it doesn’t cover everything – should better • No mortgage insurance (Ask your lender for cost details on loans without mortgage insurance.) The HomePath Renovation Mortgage This type of financing features: ... Get Content Here

Fha Mortgage Trump Signed Pictures

President Trump Reverses The Cut In Mortgage Insurance Premium
President Trump Reverses the Cut in Mortgage Insurance Premium . In his last days in the White House, President Obama signed legislation that had been floating around for ... Fetch Here

Images of Fha Mortgage Trump Signed

Federal Advocacy Priorities For Housing In The New Political ...
First Trump Action on Housing In one of his first acts, President Trump rescinded the Obama administration’s move to lower Federal Housing Administration (FHA) mortgage insurance ... Content Retrieval

Federal Housing Administration - Wikipedia
The Federal Housing Administration (FHA) is a United States government agency created in part by the National Housing Act of 1934. Borrowers who do make additional payments towards an FHA mortgage principal, ... Read Article

Images of Fha Mortgage Trump Signed

Chapter 39 The Security Deed And The Promissory Note SECURITY ...
Because a mortgage creates only a lien on the property, although the FHA, VA and FNMA/FHLMC have their own standardized versions. Security deeds for the security deed and the promissory note are forms of contracts. ... View Doc

Fha Mortgage Trump Signed Images

WASHINGTON, MONDAY, JANUARY 23, 2017 No. 12 House Of ...
The oath, President Trump signed an The Federal Housing Administration, FHA, runs this mortgage insurance program. Again, there was a rate reduction that was slated to go into effect on January 27, from 0.85 percent down to ... Get Document

No comments:

Post a Comment